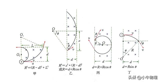
1.平行边界定圆心:
常见的定圆心有两情情形:
(1)已知入射点、出射点、入射方向和出射方向时,可通过入射点和出射点分别作垂直于入射方向和出射方向的直线,两条直线的交点就是圆弧轨道的圆心(如图甲所示,P为入射点,M为出射点).
(2)已知入射方向、入射点和出射点的位置时,可以通过入射点作入射方向的垂线,连接入射点和出射点,作其中垂线,这两条垂线的交点就是圆弧轨迹的圆心(如图乙所示,P为入射点,M为出射点).

2.平行边界找临界(存在临界条件,如图所示)
临界条件:
①轨迹圆与磁场边界相切,即速度沿边界方向.
②轨迹圆与磁场边界点擦肩而过.

3.平行边界几何关系(利用勾股定理、三角函数等数学知识,如图所示)

【例题】质量为m、电荷量为q的带负电粒子自静止开始释放,经M、N板间的电场加速后,从A点垂直于磁场边界射入宽度为d的匀强磁场中,该粒子离开磁场时的位置P偏离入射方向的距离为L,如图所示。
已知M、N两板间的电压为U,粒子的重力不计.求:匀强磁场的磁感应强度B.

【解析】

【例题】电荷量分别为q和一q的两个带电粒子分别以速度va和vb射人匀强磁场,两粒子的入射方向与磁场边界的夹角分别为30°和60°,磁场宽度为d,两粒子同时由A点出发,同时到达B点,如图所示,则()

A.a粒子带负电,b粒子带正电
B.两粒子的轨道半径之比ra:rb=1:√3
C.两粒子的速度之比va:vb=1:2
D.两粒子的质量之比ma:mb=1:2

【例题】如图所示,一个理想边界为PQ、MN的匀强磁场区域,磁场宽度为d,方向垂直纸面向里.一电子从O点沿纸面垂直PQ以速度v₀进入磁场.若电子在磁场中运动的轨道半径为2d.O′在MN上,且OO′与MN垂直.下列判断正确的是()

A.电子将向右偏转
B.电子打在MN上的点与O′点的距离为d
C.电子打在MN上的点与O′点的距离为√3d
D.电子在磁场中运动的时间为πd/3v₀

【例题】如图所示,直角坐标系中y轴右侧存在一垂直纸面向里、宽为a的有界匀强磁场,磁感应强度为B,右边界PQ平行y轴,一粒子(重力不计)从原点O以与x轴正方向成θ角的速率v垂直射入磁场,当斜向上射入时,粒子恰好垂直PQ射出磁场,当斜向下射入时,粒子恰好不从右边界射出。
则粒子的比荷及粒子恰好不从右边界射出时在磁场中运动的时间分别为(C)

A.v/Ba,2πa/3v
B.v/2Ba,2πa/3v
C.v/2Ba,4πa/3v
D.v/Ba,4πa/3v
【解析】

为什么梦境真实到离谱?难道大脑在偷偷演“平行宇宙连续剧”?
平行宇宙
27+